こんな𝕏のポストが流れてきた。
これ本当に大学は潰れるというか閉鎖方向だと思う。
— 田沼りっか, Ph.D. (@tkmpkm1_mkkr) 2024年12月4日
電気代もまともに払えないし、おそらくはこの先さらにもっと金は減っていくと思う。つまりとっくに既に滅びているような状況かもしれないんだ。学生たちもどうしようかという話になるわな。 https://t.co/l5txjtfhrx
続く。
旧帝国大学に電気代を払うための金を与えないようにしようとしている。完全に嫌がらせであり、普通に大学閉鎖にもっていきたいのがよく分かる。財務省が大学は外部資金で独自に運営できるようにするべきだとか言うなら、それは東大くらいしかできないだろうから、他の旧帝大も、もはや京大すら含めてつ…
— 田沼りっか, Ph.D. (@tkmpkm1_mkkr) 2024年12月4日
元ポストを見れば、九大のことだとわかる。旧帝大の九州大学でさえ という話である。

もう少し関連ポストを貼る。
(これあとで消すかもしれないですけど)今の職場にいて国立大学ーもう少し大仰な言い方すると国民国家が高等教育を支える仕組みそのものがーもうもたないなと思います。どんな数え方をしたとしてもおそらく十指に入るであろう大学でここまでお金がないとは…😿
— 🐧 (@far_westQ) 2024年12月4日
大学入学者が先細りなことは踏まえたうえで、やはり国立大学への運営交付金をもう一度増やさないと大学運営がどうにもたち行かないのではないか。そのためには競争的資金を一部削ることもやむを得ないのではないかと思う。研究費どころか電気代も払えないような状況では…>RT
— ばく (@kapibaku) 2024年12月5日
一方、このブログの読者の皆さんは私立大学に補助金・交付金が入っていることを知っている(そんな有名・有力ブログではない)。オレの力不足の話はどうでもいいので過去エントリを素直に貼る。
日本大学だと12~21ギガ円ですね。1ギガ円は10億円。つまり調査範囲で最大約219億円である。
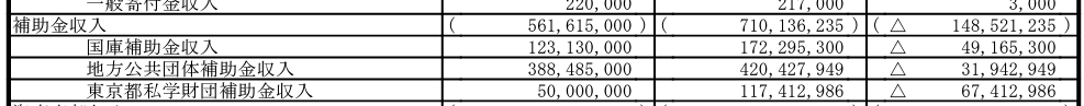
単位は円。各項は左から予算、決算、差異である。
トータル7.1億円入っている。国庫、地方公共団体、東京都のいずれの補助金も予算より増えているのが気になる。学生募集停止があるのに。関係ないけど学園のマーク orz にしか見えないw水を汲んでいるところらしいが。
同じ2022年に165億円入っている日本大学と比べると大したこと無さそうに見えるけど、こんな大学が284校あるって考えたら大したことあるって。もちろん恵泉女学園にしても、学校法人の中の一部である大学の中の一部の学科が募集停止であって、全部が不採算というわけでもないんだけど。でも規模感は掴めると思う。
なんかおかしくない?省庁最弱の文部科学省のやることなので、理解はできる。
まずここが問題だよね。
国は2020年度までに小中学生に端末を配備した際、1台あたり4万5000円を自治体に補助したが、修理費は対象外だ。
どう考えても小中学生が端末を壊す確率は大人より高いことが予想できる。まず、大人の場合、自分で買った端末を自分が壊したら自分で金出すとことになる。まずそこに抑止力があって、注意するし大事に扱う。会社などから貸与の端末にしても、落下などで壊せば上司等に叱られる上に、(修理期間・代替機の到着までの期間やセットアップなど)一定期間の不便がありうる。
一方の小中学生に貸与した端末、壊したからって自分のお小遣いから修理代金出すわけじゃないし、そもそもの注意能力も大人よりも劣後する子のほうが多い。
修理費を補助対象外にしたのは、どう考えても問題である。GIGAスクール構想の予算関係を見ても、文部科学省は予算化する気が最初っから無い。「修理」という単語が出てくるのはこのページのみ。
理解はできるが同意できるとは言っていない。元トップがこんな人ではこうなっても仕方ない。真面目に文部行政について考えていたとは思えない。省内政治はうまかったんだろうけど、省内政治というのは国民のために寄与しない。
さすが自ら赴いて出会い系バーで若年女性の貧困調査をしてたお方だ。含蓄がある。
— 🦙🦙藤原@かみら🦙(アルパカ社長) (@Racer_Kamira) 2024年12月5日
よく勉強したんだろうな、出会い系バーで https://t.co/SQMexGVGFZ
独立行政法人化された国立大学においてどの程度の資金不足なのかは、それぞれの大学ごとに状況は異なるので調査をサボるけど、部屋の電灯でさえシビアというのはかなり厳しい。私立大学にあれやこれや理由を付けて金を入れている場合じゃないんじゃないか?潰すならオープンな議論、正規の手続きで統廃合すべきであって、監督官庁とその上のラスボス(財務省)からの兵糧攻めで自然淘汰はおかしいだろ。
あと、なんで私大には金が行くかというと天下りポスト確保のため?
九大は窮しているのに東北大は余裕なのか?




